प्रश्न 1. सत्यापित कीजिए कि निम्न त्रिघात बहुपदों के साथ दी गई संख्याएँ उसकी शून्यक हैं। प्रत्येक स्थिति में शून्यकों और गुणांकों के बीच के सम्बन्ध को भी सत्यापित कीजिए-
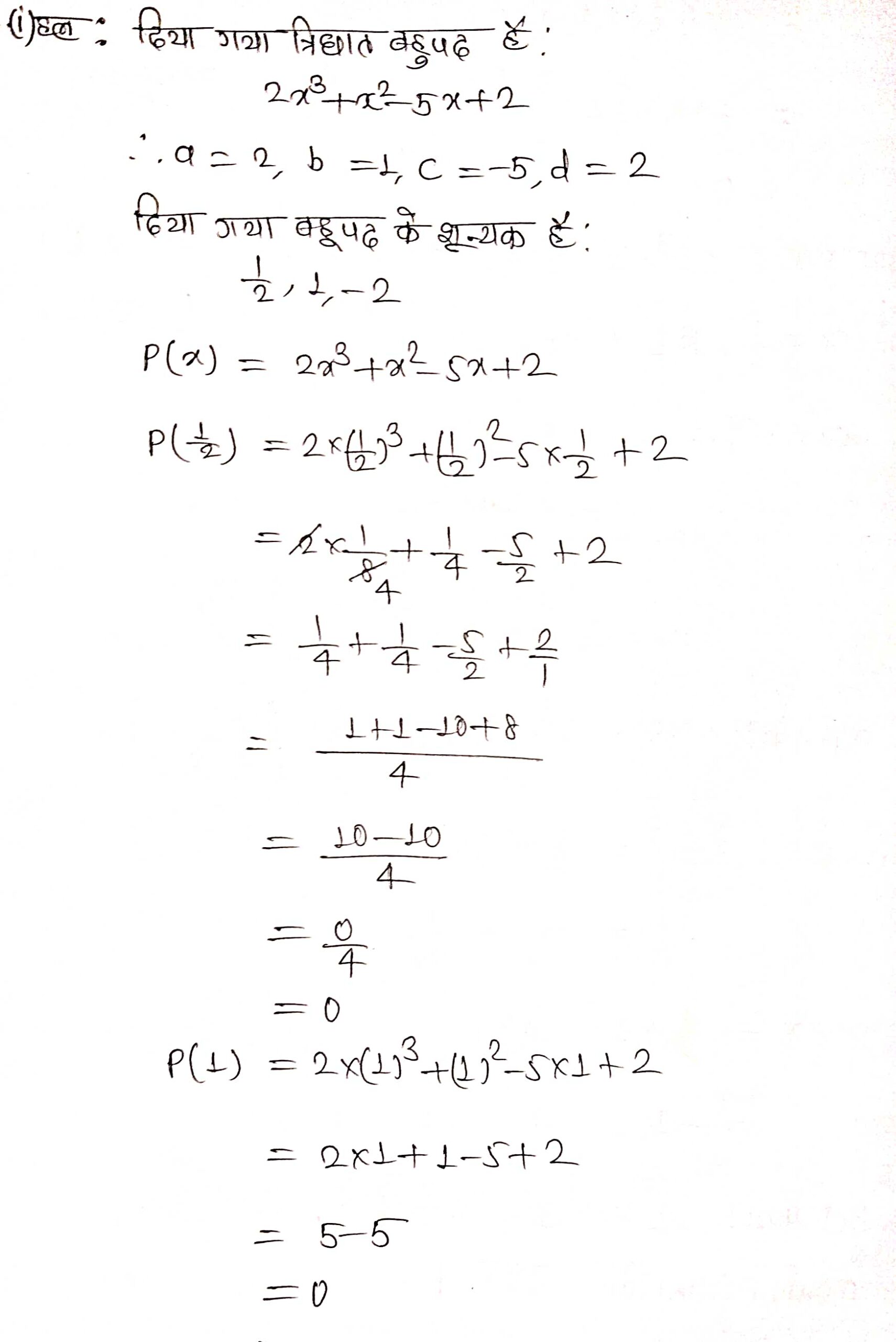
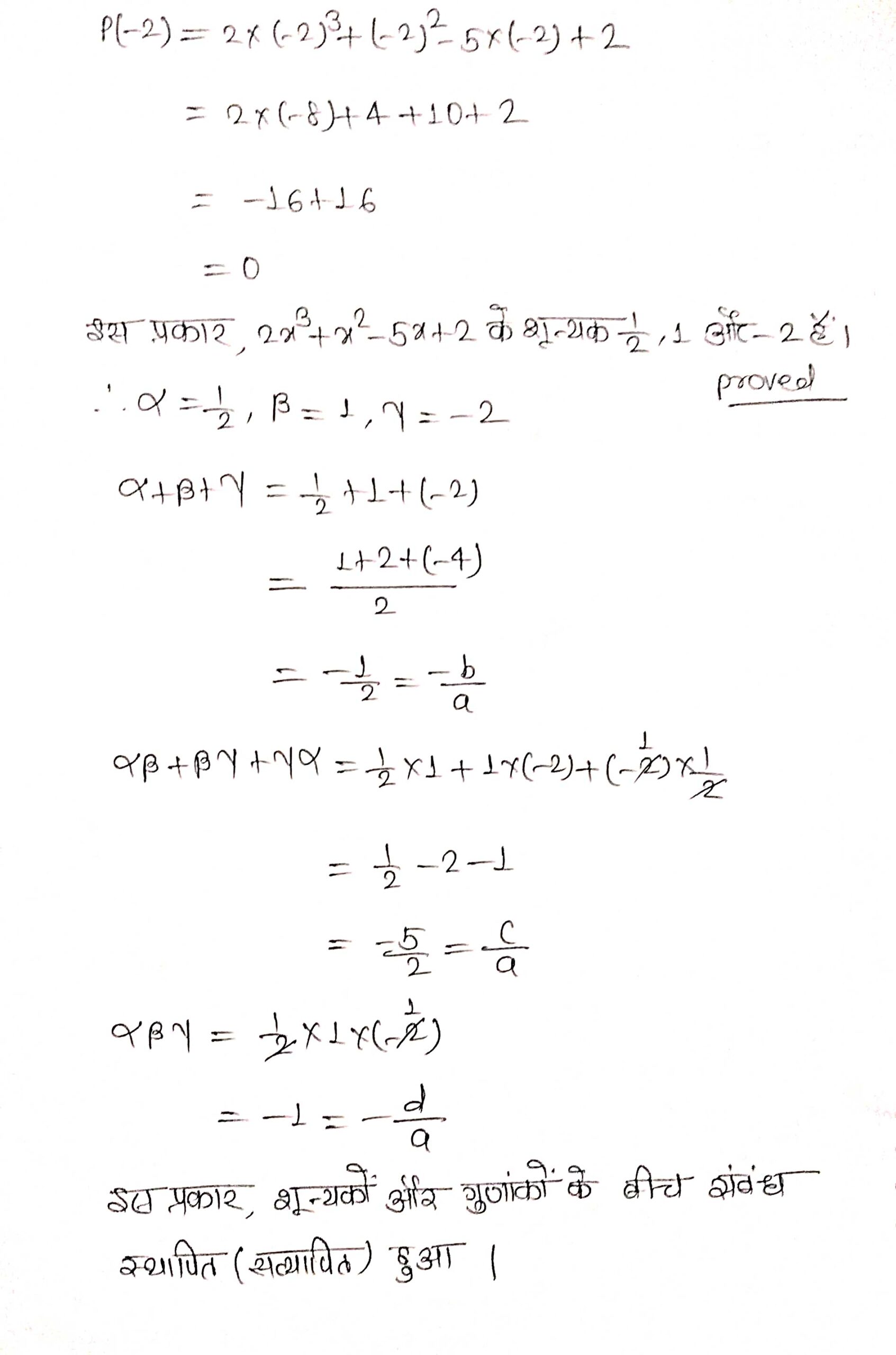
(i) 2x3 + x2 – 5x + 2; 1/2, 1, -2
(ii) x3 – 4x2 + 5x – 2; 2, 1, 1

प्रश्न 2. एक त्रिघात बहुपद प्राप्त कीजिए जिसके शून्यकों का योगफल, दो शून्यकों को एक साथ लेकर उनके गुणनफलों का योगफल तथा तीनों शून्यकों के गुणनफल क्रमशः 2, -7, -14 हों।

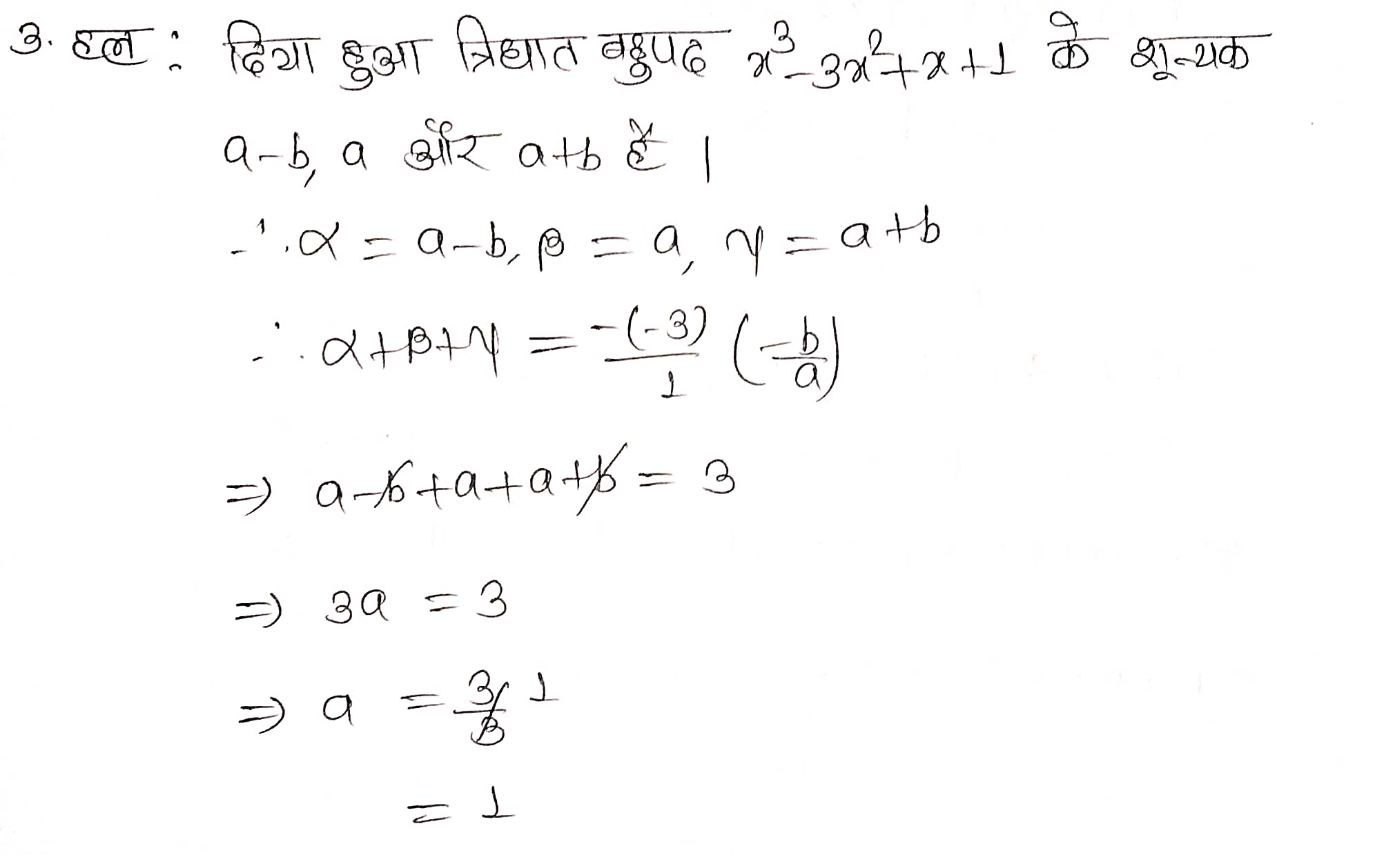
प्रश्न 3. यदि बहुपद x3 – 3x2 + x + 1 के शून्यक a – b, a, a + b हों तो a और b ज्ञात कीजिए।

प्रश्न 4. यदि बहुपद x4 – 6x3 – 26x2 + 138x – 35 के दो शून्यक 2 ± √3 हों तो अन्य शून्यक ज्ञात कीजिए।

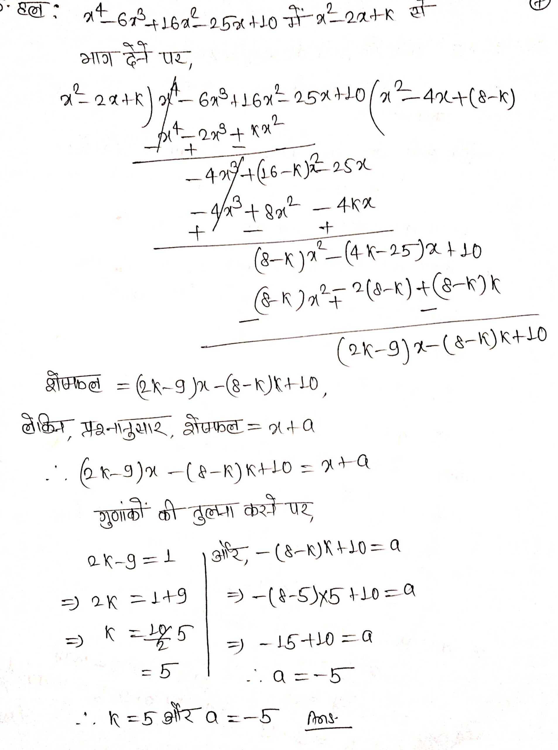
प्रश्न 5. यदि बहुपद x4 – 6x3 + 16x2 – 25x + 10 को एक अन्य बहुपद x2 – 2x + k से भाग दिया जाए और शेषफल x + a आता हो तो k तथा a ज्ञात कीजिए।

Leave a Reply