1. sin 54° cos 36° का मान क्या होगा ?
(A) sin 18°
(B) 1
(C) 0
(D) 90°
2. एक अर्द्धवृत्त का परिमाप 36 cm हों तो इसकी त्रिज्या:
(A) 14 cm
(B) 7 cm
(C) 21 cm
(D) इनमें से कोई नहीं
3. समान्तर श्रेणी : 54, 51, 48, 45 का 10वाँ पद है
(A) 27
(B) 30
(C) −27
(D) इनमें से कोई नहीं
4. बिन्दु (2√3, – √2) किस पाद में स्थित है :
(A) प्रथम पाद
(B) द्वितीय पाद
(C) तृतीय पाद
(D) चतुर्थ पाद
5. किसी पूर्णांक m के लिए सम संख्या का रूप है :
(A) m + 2
(B) 2m + 1
(C) 2m
(D) 2m – 1
6. बिन्दु (4, 3) किस पाद में है ?
(A) प्रथम पाद
(B) द्वितीय पाद
(C) तृतीय पाद
(D) चतुर्थ पाद
7. यदि किसी समान्तर श्रेणी का छठा और बारहवाँ पद 13 और 25 है, तो इसका पहला पद है
(A) 4
(B) 3
(C) 2
(D) 5
8. एक शंकु का आयतन 1570 सेमी०3 है। यदि इसके आधार का क्षेत्रफल 314 सेमी०2 है, तो इसकी ऊँचाई है
(A) 10cm
(B) 15 cm
(C) 18 cm
(D) 20 cm
9. cosec 45° का मान है
(A) ∞
(B) 2
(C) √2
(D) –√2
10.
की स्थिति में, रैखिक समीकरण युग्म :
(A) संगत होता है
(B) असंगत होता है
(C) दोनों
(D) इनमें से कोई नहीं
11. त्रिघात बहुपद का सबसे व्यापक रूप है
(A) ax2 + bx + c
(B) ax4 + bx3 + c
(C) ax3 + bx2 + cx + d
(D) ax2 + bx2 + c
12. यदि α, β द्विघात बहुपद f(x) = x2 – 5x + 7 के मूल हों, तो 1/α + 1/β का मान होगा :
(A) -5/7
(B) 5/7
(C) 7/5
(D) -7/5
13. द्विघात बहुपद 6x2 – 7x – 3 के शून्यक होंगे
(A) (3/2, 1/3)
(B) (-3/2, 1/3)
(C) (3/2, 1/3)
(D) -3/2, -1/3)
14. यदि α तथा β द्विघात बहुपद f (x) = x2 + 2x + 3 का मूल हो, तो 1/α + 1/β का मान होगा :
(A) 3/2
(B) -2/3
(C) 2/3
(D) -3/2
15. दो रैखिक समीकरणों के आलेख प्रतिच्छेदी रेखाएँ हैं, तब रैखिक समीकरण युग्म का :
(A) कोई हल नहीं है
(B) एक हल है
(C) दो हल है
(D) अंतत: अनेक हल है
16. निम्नलिखित में कौन परिमेय संख्या है ?
(A) √3
(B) 2√2 / √2
(C) 4 + √5
(D) √16
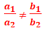
17. दो क्रमिक सम संख्याओं का H. C. F. होगा :
(A) 1
(B) 2
(C) 3
(D) 5
18. किसी धनात्मक पूर्णांक a तथा b के लिए (a, b) का म. स. x(a, b) का ल. स. निम्न में से किसके बराबर है?
(A) a/b
(B) b/a
(C) a
b
(D) a + b
19. यूक्लिड विभाजन एल्गोरिथ्म दो धनात्मक पूर्णांकों के निम्न में किसे परिकलित करने का तकनीक है:
(A) ल. स.
(B) म. स.
(C) भागफल
(D) शेषफल
20.
है :
(A) परिमेय संख्या
(B) अपरिमेय संख्या
(C) पूर्ण संख्या
(D) इनमें कोई नहीं
21. दो रैखिक समीकरणों के आलेख समान्तर रेखाएँ हैं, तब रैखिक समीकरण युग्म का :
(A) कोई हल नहीं है
(B) एक हल है
(C) दो हल है
(D) अनगिनत हल है
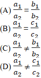
22. यदि
समीकरण निकाय a1x + b1y + C1 = 0, a2x + b2y + C2 = 0 का :
(A) कोई हल नहीं है
(B) एक अद्वितीय हल है।
(C) अनेक हल हैं
(D) दो हल है
23. a का मान जिसके लिए समीकरण निकाय ax + 10y = 0, 2x + 5y = 0 का एक शून्येतर हल है, होगा
(A) 4
(B) 2
(C) –4
(D) −2
24. द्विघात समीकरण x2 + x – 1 = 0 के मूलों की प्रकृति होगी :
(A) वास्तविक तथा असमान
(B) वास्तविक तथा समान
(C) समान
(D) वास्तविक नहीं
25. निम्नलिखित में कौन द्विघात समीकरण नहीं है?
(A) (x + 1) (x – 2 ) = 0
(B) 2x2 – 7x = 0
![]()
(D) x2 – 9 = 0
26. द्विघात समीकरण x2 – 5x + 4 = 0 का विविक्तकर निम्नलिखित में कौन है ?
(A) 4
(B) 7
(C) 9
(D) 10
27. निम्नलिखित में से 4 – ½x2 का शून्यक कौन है?
(A) 2√2
(B) 2
(C) 0
(D) 4
28. निम्नांकित वर्ग समीकरणों में से किस समीकरण का हल परिमेय संख्याओं के समुच्चय के रूप में होगा ?
(A) x2 = 5
(B) x2 = 16/7
(C) x(x – 2) = 3 – 2x
(D) (x + 1)(x – 1) = 0
29. 1, 5, 9, 13, 17.21. 25…… समान्तर श्रेढ़ी में हैं, तो पदान्तर का मान होगा :
(A) 1
(B) 2
(C) 3
(D) 4
30. निम्नलिखित में कौन समांतर श्रेणी है ?
(A) 2, 4, 8, 16…
(B) –10, –6, –2, 2….
(C) 3, 5, 4, 2…..
(D) √3, √6, √9, √12…..
31. तीन संख्याएँ A.P. में हैं तथा उनका योग 24 है। उनके वर्गों का योग 20 है, तो वे संख्याएँ हैं :
(A) 4, 8, 12
(B) 6, 8, 10
(C) 5, 8, 11
(D) 2, 8, 14
32. 0 और 50 के बीच की विषम संख्याओं का योगफल होगा :
(A) 50
(B) 500
(C) 625
(D) इनमें कोई नहीं
33. किसी A. P. की चार संख्याओं का योग 40 और उनके पहली और चौथी संख्याओं का गुणनफल 91 है, वे संख्याएँ हैं :
(A) 7, 9, 11, 13
(B) 6, 8, 12, 14
(C) 4, 7, 10, 19
(D) 3, 8, 9, 20
34. ∆ABC में, AB2 + BC2 = AC2 और AB = AC हो, तो
C का मान होगा :
(A) 60°
(B) 90°
(C) 45°
(D) 30°
35. ∆ABC में a = 30 cm, b = 40 cm, c = 50cm हो, तो
C का मान निम्नलिखित में कौन-सा है ?
(A) 30°
(B) 40°
(C) 50°
(D) 90°
36. पाइथागोरस प्रमेय का सम्बन्ध है :
(A) समकोण त्रिभुज से
(B) समरूप त्रिभुज से
(C) समचतुर्भुज से
(D) इनमें कोई नहीं
37. sin (90° –
) बराबर होता है :
(A) sin ![]()
(B) – sin ![]()
(C) cos ![]()
(D) – cos ![]()
38. एक समकोण समद्विबाहु ∆ABC में,
C = 90°, तो AB की लम्बाई होगी :
(A) 2AC
(B) √AC
(C) √2AC
(D) AC / √2
39. बिंदु A(8, 10) तथा B(4, 6) को मिलाने वाली रेखा का मध्यबिंदु का नियामक है :
(A) (6, 8)
(B) (8, 6)
(C) (8, 4)
(D) (4, 8)
40. बिन्दुओं A(4, 5) तथा B(6, 5) को मिलानेवाली रेखा का मध्यबिन्दु है :
(A) (5, 4)
(B) (5, 5)
(C) (4, 5)
(D) (4, 3)
41. बिन्दुओं (-5, 7) और (-1, 3) के बीच की दूरी होगी:
(A) 2√2
(B) 3√2
(C) 4√2
(D) 5√2
42. बिंदु (2, 3) एवं (4, 1) के बीच की दूरी है :
(A) 2√2 इकाई
(B) 2√13 इकाई
(C) 2√10 इकाई
(D) 4√2 इकाई
43. 1 + tan2
का मान है :
(A) sec2![]()
(B) cos2![]()
(C) tan2![]()
(D) cot 2![]()
44. 1/√3 किसका मान है ?
(A) sin ![]()
(B) 6 cot ![]()
(C) tan ![]()
(D) cos ![]()
45. यदि √3 cosec
= 2 हो, तो का मान होगा
(A) 60°
(B) 45°
(C) 30°
(D) 0°
46.
बराबर होता है :
(A) sec2A
(B) cosec2A
(C) cot2A
(D) tan2A
47. एक बिन्दु Q से एक वृत्त पर स्पर्श रेखा की लम्बाई 24 cm तथा Q की केन्द्र से दूरी 25 cm है । वृत्त की त्रिज्या है :
(A) 7 cm
(B) 12 cm
(C) 15 cm
(D) 24.5 cm
48. यदि एक बिन्दु P से O केन्द्र वाले किसी वृत्त पर PA और PB स्पर्श रेखाएँ परस्पर 80° के कोण पर झुकी हो, तो
POA बराबर है :
(A) 50°
(B) 60°
(C) 70°
(D) 80°
49. किसी बाह्य बिन्दु से किसी वृत्त पर खींची गई दोनों स्पर्श रेखाओं की लम्बाइयों में कौन-सा सम्बन्ध होता है?
(A) समान
(B) असमान
(C) दुगुना
(D) इनमें कोई नहीं
50. यदि किसी वृत्त की त्रिज्या दुगुनी कर दी जाए तो नये एवं पुराने वृत्तों की परिधियों का अनुपात होगा
(A) 1 : 1
(B) 2 : 1
(C) 4 : 1
(D) 1 : 4
51. वृत्ताकार पथ पर तीन धावक एक ही स्थान से दौड़ना शुरू करते हैं, तो एक चक्कर लगाने में क्रमश: 3 घंटे, 4 घंटे तथा 8 घंटे समय लगता है । तीनों को प्रस्थान बिंदु पर पुनः मिलने में लगा समय होगा ?
(A) 6 घंटे
(B) 8 घंटे
(C) 16 घंटे
(D) 24 घंटे
52. यदि किसी वृत्त की त्रिज्या आधी कर दी जाए, वृत्तों के परिधियों का अनुपात होगा :
(A) 1 : 2
(B) 2 : 1
(C) 4 : 1
(D) 1 : 4
53. यदि किसी वृत्त की त्रिज्या दुगनी कर दी जाए तो पुराने एवं नये वृत्तों के क्षेत्रफलों का अनुपात क्या होगा ?
(A) 1 : 2
(B) 1 : 4
(C) 4 : 1
(D) 2 : 1
54. एक घन का आयतन 125m3 है, तो उसका कुल पृष्ठ क्षेत्रफल होगा :
(A) 30m2
(B) 10m2
(C) 150m2
(D) 125m2
55. एक घनाभ के तीन संलग्न फलकों के क्षेत्रफल x2, y2 एवं z2 हैं, तो उसका आयतन V बराबर होगा
(A) x2y2x2
(B) x2 + y2 + z2
(C) 2xyz
(D) xyz
56. किसी बारंबारता का बहुलक होता है :
(A) कम से कम बारंबारता मान
(B) माध्यतम मान
(C) अधिकतम बारंबारता मान
(D) इनमें कोई नहीं
57. 1, 3, 0, 3, 1, 3 का बहुलक होगा :
(A) 0
(B) 1
(C) 2
(D) 3
58. निश्चित घटना की प्रायिकता होती है :
(A) 1
(B) 2
(C) 0
(D) इनमें कोई नहीं
59. निम्न में से किसी घटना की प्रायिकता नहीं होती है :
(A) -5
(B) 0
(C) 1
(D) 1 : 4
60. यदि tan
= 5/12 तो sin का मान क्या होगा ?
(A) 12/13
(B) 5/13
(C) 5/7
(D) 13/12
61. एक तार 28 cm त्रिज्या वाले वृत्त के रूप में मोड़ दिया जाता है । तब वर्ग की भुजा है :
(A) 22 cm
(B) 33 cm
(C) 44 cm
(D) इनमें से कोई नहीं
62. यदि 6, 8, 9, x तथा 13 का माध्य 10 हो, तो x का मान है :
(A) 12
(B) 13
(C) 14
(D) 15
63. सबसे छोटी अभाज्य और सबसे छोटी भाज्य संख्या का गुणनफल है :
(A) 10
(B) 6
(C) 8
(D) 4
64. निम्न में से कौन-सा अपरिमेय नहीं है ?
(A) √64/81
(B) 2√3
(C) √21/35
(D) √3√2
65. यदि P + 1, 2P + 1, 4P – 1 .A.P में है तो P का मान है
(A) 1
(B) 2
(C) 3
(D) 4
66. यदि कोई रेखा वृत्त को सिर्फ एक बिन्दु पर स्पर्श करती हैं, तो वह रेखा कहलाती है :
(A) जीवा
(B) स्पर्श रेखा
(C) छेदक रेखा
(D) इनमें से कोई नहीं
67. 24, 15, 22, 13, 9, 10 तथा 30 का परिसर होगा :
(A) 22
(B) 24
(C) 9
(D) 21
68. cot (90° – A) =
(A) cos A
(B) sin A
(C) tan A
(D) – tan A
69. दो त्रिभुज समरूप होते है, यदि
(A) उनके संगत कोण बराबर हो
(B) उनकी संगत भुजाएँ एक ही अनुपात में हो
(C) दोनों
(D) इनमें से कोई नहीं
70. (3 – √3) है :
(A) परिमेय संख्या
(B) अपरिमेय संख्या
(C) एक पूर्णांक संख्या
(D) इनमें कोई नहीं
71. 11.23
है :
(A) एक पूर्णांक संख्या
(B) एक अपरिमेय संख्या
(C) एक परिमेय संख्या
(D) इनमें से कोई नहीं
72. 5.2333………. है :
(A) एक पूर्णांक संख्या
(B) एक परिमेय संख्या
(C) एक अपरिमेय संख्या
(D) इनमें कोई नहीं
73. 1/√7 है :
(A) परिमेय संख्या
(B) अपरिमेय संख्या
(C) सम संख्या
(D) इनमें कोई नहीं
74. भाज्य a और भाजक b के लिए a = bq + r में r के लिए कौन-सा सत्य है ?
(A) 0 r b
(B) 0 < r b
(C) 0 r < b
(D) r > b
75. एक द्विघात बहुपद के मूलों के योगफल तथा गुणनफल क्रमश: 2 तथा -15 है । द्विघात बहुपद है :
(A) x2 + 2x + 15
(B) x2 + 2x – 15
(C) x2 – 2x + 15
(D) x2 – 2x – 15
76. निम्न में से कौन बहुपद नहीं है ?
(A) √5x2 – 3√2x + 4
(B) 1/4x3 – 3x2 + 1/√3x + 2
(C) x + 1/x
(D) 3x2 – 4x + √5
77. एक घात वाला बहपुद कहलाता है.
(A) द्विघात बहुपद
(B) त्रिघात बहुपद
(C) रैखिक बहुपद
(D) बहुपद नहीं
78. निम्नलिखित में कौन बहुपद नहीं है?
(A) 2/3 x + 1
(B) 2 – x2
(C) 1/x–1
(D) x3
79. द्विघात बहुपद x2 – 5x + 6 के शून्यक हैं :
(A) 1, -1
(B) 2, 1
(C) 2, 3
(D) -2, -3
80. समीकरण निकाय 5x – 3y + 2 = 0 और 6x + y – 2 = 0 का किस प्रकार का हल सम्भव है ?
(A) वास्तविक एवं अद्वितीय
(B) हल संभव नहीं
(C) अनेक हल
(D) इनमें कोई नहीं
81. समीकरण निकाय 2x + ay = 1 और 3x – 5y = 7 में अचर a के किस मान के लिए एक अद्वितीय हल होंगे?
(A) a = 10/3
(B) a ≠ -10/3
(C) a = 10
(D) a ≠ 10
82. समीकरण निकाय a1x + b1y+c1 = 0 और a2x + b2y + c2 = 0 का अद्वितीय हल होगा, जब :

83. समीकरण x + 2y = 9 में यदि x = 5 हो, तो y का मान क्या होगा ?
(A) 1
(B) 2
(C) 4
(D) –2
84. द्विघात समीकरण 3/4x2 – 8x – 3 = 0 के विविक्तकर (D) का मान निम्नलिखित में कौन होगा ?
(A) 55
(B) 73
(C) 81
(D) 47
85. वह द्विघात समीकरण जिसके मूल 3, –3 हो,निम्नलिखित में कौन-सा होगा ?
(A) x2 – 3 = 0
(B) x2 – 9 = 0
(C) x2 + 3x – 9 = 0
(D) x2 – 2x + 3 = 0
86. दो लगातार धन एवं पूर्ण संख्याओं का गुणनफल 72 है । यदि छोटी संख्या x हो, तो निम्नलिखित में कौन समीकरण इस कथन को व्यक्त करेगा ?
(A) x(x – 1 ) = 72
(B) (x + 1)x = 72
(C) x × 9 = 72
(D) –x(–x + 1) = 72
87. यदि a और b समीकरण x2 – ax + b = 0 के मूल हैं, तब :
(A) a = 0, b =1
(B) a = –2, b = 1
(C) a = 1, b = –2
(D) इनमें कोई नहीं
88. एक A. P. के 15 पदों का योग क्या है, जिसके प्रथम और अन्तिम पद क्रमश: 5 और 75 हैं ?
(A) 550
(B) 500
(C) 600
(D) 700
89. प्रथम 200 प्राकृत संख्याओं का योग है :
(A) 30600
(B) 20100
(C) 40200
(D) इनमें कोई नहीं
90. 107 और 253 के बीच की 5 से विभाज्य संख्याओं का योग है
(A) 5220
(B) 5210
(C) 5200
(D) 50000
91. दो समबाहु त्रिभुजों के क्षेत्रफलों का अनुपात 9 : 4 है, तो उनकी संगत भुजाओं में कौन-सा अनुपात होगा ?
(A) 3 : 4
(B) 3 : 2
(C) 1 : 2
(D) 2 : 1
92. दो समरूप त्रिभुजों की भुजाएँ 1 : 2 के अनुपात में हैं, तब इन त्रिभुजों के क्षेत्रफलों का अनुपात है :
(A) 1 : 2
(B) 2 : 1
(C) 4: 1
(D) 1 : 4
93. समबाहु त्रिभुज ABC में यदि AD
BC तब
=
(A) ¾
(B) 4/3
(C) ½
(D) 2/1
94. y-अक्ष से 5 इकाई दायीं और x-अक्ष पर एक बिन्दु P स्थित है! P के निर्देशांक है :
(A) (5, 0)
(B) (0, 5)
(C) (5,–5)
(D) (–5, 5)
95. बिन्दुओं A (2, –3) तथा B(2, 2) के बीच की दूरी है:
(A) 2 इकाइयाँ
(B) 3 इकाइयाँ
(C) 4 इकाइयाँ
(D) 5 इकाइयाँ
96. बिन्दुओं A(0, 6), B(–5, 3) तथा C (3, 1) एक त्रिभुज के शीर्ष बिन्दु हैं। यह त्रिभुज है :
(A) समद्विबाहु
(B) समबाहु
(C) विषमबाहु
(D) समकोण त्रिभुज नहीं
97. बिन्दुओं A(0, –2), B(3, 1), C(0, 4) तथा D(–3, 1) शीर्ष हैं, एक :
(A) समान्तर चतुर्भुज के
(B) आयत के
(C) वर्ग के
(D) समचतुर्भुज के
98. y-अक्ष पर x-अक्ष से 5 इकाई की दूरी पर x-अक्ष के नीचे एक बिन्दु A स्थित है । A के निर्देशांक हैं
(A) (5,0)
(B) (0, 4)
(C) (–5, 0)
(D) (0, –5)
99. A (5, –2) और B(9, 6) को मिलाने वाली रेखा को 3 : 1 के अनुपात में बिन्दु P पर बाँटती है, तो P के निर्देशांक हैं :
(A) (4, 7)
(B) (8, 4)
(C) (11/2, 5)
(D) (12, 8)
Read more – Click here
YouTube Video – Click here
Leave a Reply