BSEB Bihar Board Class 10 Maths Solutions Chapter 3 दो चरों वाले रैखिक समीकरण युग्म Ex 3.4
प्रश्न 1. निम्न समीकरणों के युग्म को विलोपन विधि तथा प्रतिस्थापन विधि से हल कीजिए। कौन-सी विधि अधिक उपयुक्त है?





प्रश्न 2. निम्न समस्याओं में रैखिक समीकरणों के युग्म बनाइए और उनके हल (यदि उनका अस्तित्व हो) विलोपन विधि से ज्ञात कीजिए-
(i) यदि हम अंश में 1जोड़ दें तथा हर में से 1घटा दें, तो भिन्न 1 में बदल जाती है। यदि हर में 1 जोड़ दें, तो यह 12 हो जाती है। वह भिन्न क्या है?
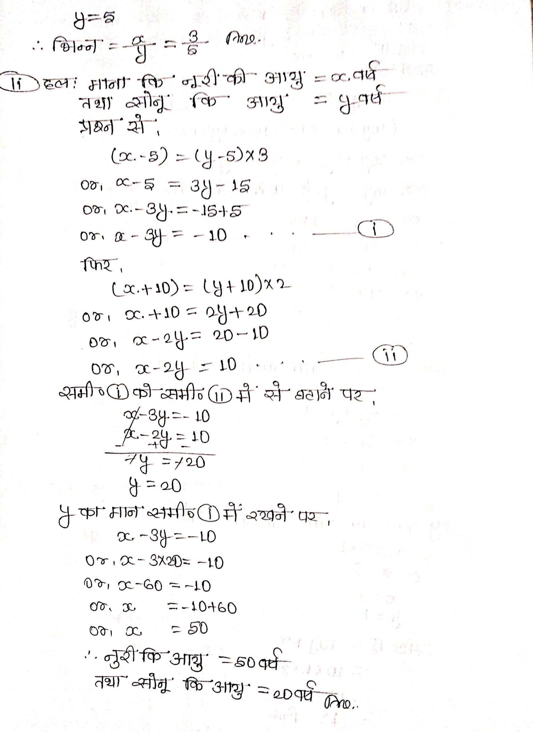
(ii) पाँच वर्ष पूर्व नूरी की आयु सोनू की आयु की तीन गुनी थी। दस वर्ष पश्चात्, नूरी की आयु सोनू की आयु की दो गुनी हो जाएगी। नूरी और सोनू की आयु कितनी है?
(iii) दो अंकों की संख्या के अंकों का योग 9 है। इस संख्या का नौ गुना, संख्या के अंकों को पलटने से बनी संख्या का दो गुना है। वह संख्या ज्ञात कीजिए।
(iv) मीना ₹ 2000 निकालने के लिए एक बैंक गई। उसने खजाँची से ₹ 50 तथा ₹ 100 के नोट देने के लिए कहा। मीना ने कुल 25 नोट प्राप्त किए। ज्ञात कीजिए कि उसने ₹ 50 और ₹ 100 के कितने-कितने नोट प्राप्त किए?
(v) किराए पर पुस्तकें देने वाले किसी पुस्तकालय का प्रथम तीन दिनों का एक नियत किराया है तथा उसके बाद प्रत्येक अतिरिक्त दिन का अलग किराया है। सरिता ने सात दिनों तक एक पुस्तक रखने के लिए ₹ 27 अदा किए, जबकि सूसी ने एक पुस्तक पाँच दिनों तक रखने के ₹ 21 अदा किए। नियत किराया तथा प्रत्येक अतिरिक्त दिन का किराया ज्ञात कीजिए।





Read more – Click here
YouTube Video – Click here
Leave a Reply