Bihar Board Class 10 Maths त्रिकोणमिति का परिचय Ex 8.1
प्रश्न 1. ΔABC में, जिसका कोण B समकोण है, AB = 24 सेमी और BC = 7 सेमी है। निम्नलिखित का मान ज्ञात कीजिए-
(i) sin A, cos A
(ii) sin C, cos C

प्रश्न 2. आकृति में, tan P – cot R का मान ज्ञात कीजिए।


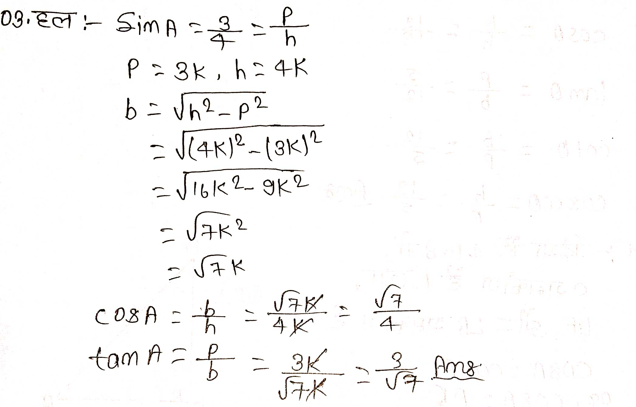
प्रश्न 3. यदि sin A = 3/4, तो cos A और tan A का मान परिकलित कीजिए।

प्रश्न 4. यदि 15 cot A = 8 हो, तो sin A और sec A का मान ज्ञात कीजिए।

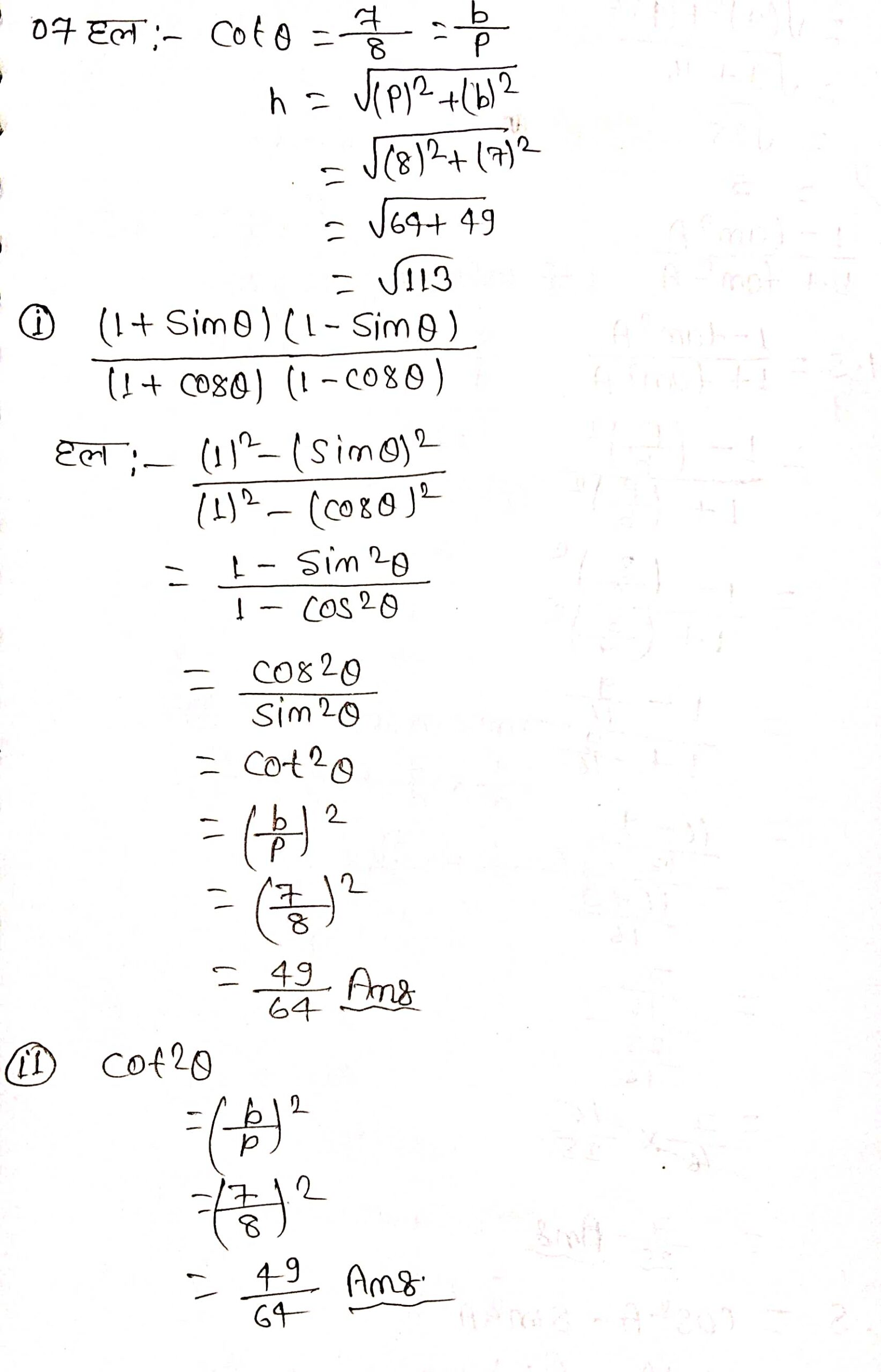
प्रश्न 5. यदि sec θ = 13/12 हो तो अन्य सभी त्रिकोणमितीय अनुपात परिकलित कीजिए।

प्रश्न 6. यदि ∠A तथा ∠B न्यूनकोण हों और cos A = cos B हो, तो दिखाइए कि: ∠A = ∠B






(i) sin A cos C + cos A sin C
(ii) cos A cos C – sin A sin C

प्रश्न 10. ΔPQR में, जिसका कोण Q समकोण है, PR + QR = 25 सेमी और PQ = 5 सेमी है। sin P, cos P और tan P के मान ज्ञात कीजिए।

प्रश्न 11. बताइए कि निम्नलिखित कथन सत्य हैं या असत्या कारण सहित अपने उत्तर की पुष्टि कीजिए।
(i) tan A का मान सदैव 1 से कम होता है।
(ii) कोण A के किसी मान के लिए sec A = 12/5
(iii) cos A, कोण A के cosecant के लिए प्रयुक्त एक संक्षिप्त रूप है।
(iv) cot A, cot और A का गुणनफल होता है।
(v) किसी भी कोण θ के लिए sin θ = 4/3

Leave a Reply