Bihar Board Class 10 Maths निर्देशांक ज्यामिति Ex 7.1
प्रश्न 1. बिन्दुओं के निम्नलिखित युग्मों के बीच की दूरियाँ ज्ञात कीजिए
(i) (2, 3), (4, 1)
(ii) (-5, 7), (-1, 3)
(iii) (a, b), (-a, -b)
प्रश्न 2. बिन्दुओं (0, 0) और (36, 15) के बीच की दूरी ज्ञात कीजिए। क्या अब आप अनुच्छेद 7.2 में दिए दोनों शहरों A व B के बीच की दूरी ज्ञात कर सकते हैं?

प्रश्न 3. निर्धारित कीजिए कि क्या बिन्दु (1, 5) (2, 3) और (-2, -11) संरेखी हैं?

प्रश्न 4. जाँच कीजिए कि क्या बिन्दु (5, -2), (6, 4) और (7, -2) एक समद्विबाहु त्रिभुज के शीर्ष हैं।

प्रश्न 5. किसी कक्षा में, चार मित्र बिन्दुओं A, B, C और D पर बैठे हुए हैं, जैसा कि आकृति में दर्शाया गया है। चम्पा और चमेली कक्षा के अन्दर आती हैं और कुछ मिनट तक देखने के बाद, चम्पा चमेली से पूछती है, ‘क्या तुम नहीं सोचती हो कि ABCD एक वर्ग है?’ चमेली इससे सहमत नहीं है। दूरी सूत्र का प्रयोग करके, बताइए कि इनमें कौन सही है?


प्रश्न 6. निम्नलिखित बिन्दुओं द्वारा बनने वाले चतुर्भुज का प्रकार (यदि कोई है तो) बताइए तथा अपने उत्तर के लिए कारण भी दीजिए-
(i) (-1, -2), (1, 0),(-1, 2),(-3, 0)
(ii) (-3, 5), (3, 1), (0, 3),(-1, -4)
(iii) (4, 5), (7, 6), (4, 3), (1, 2)

प्रश्न 7. X-अक्ष पर वह बिन्दु ज्ञात कीजिए जो (2, -5) और (-2, 9) से समदूरस्थ है।

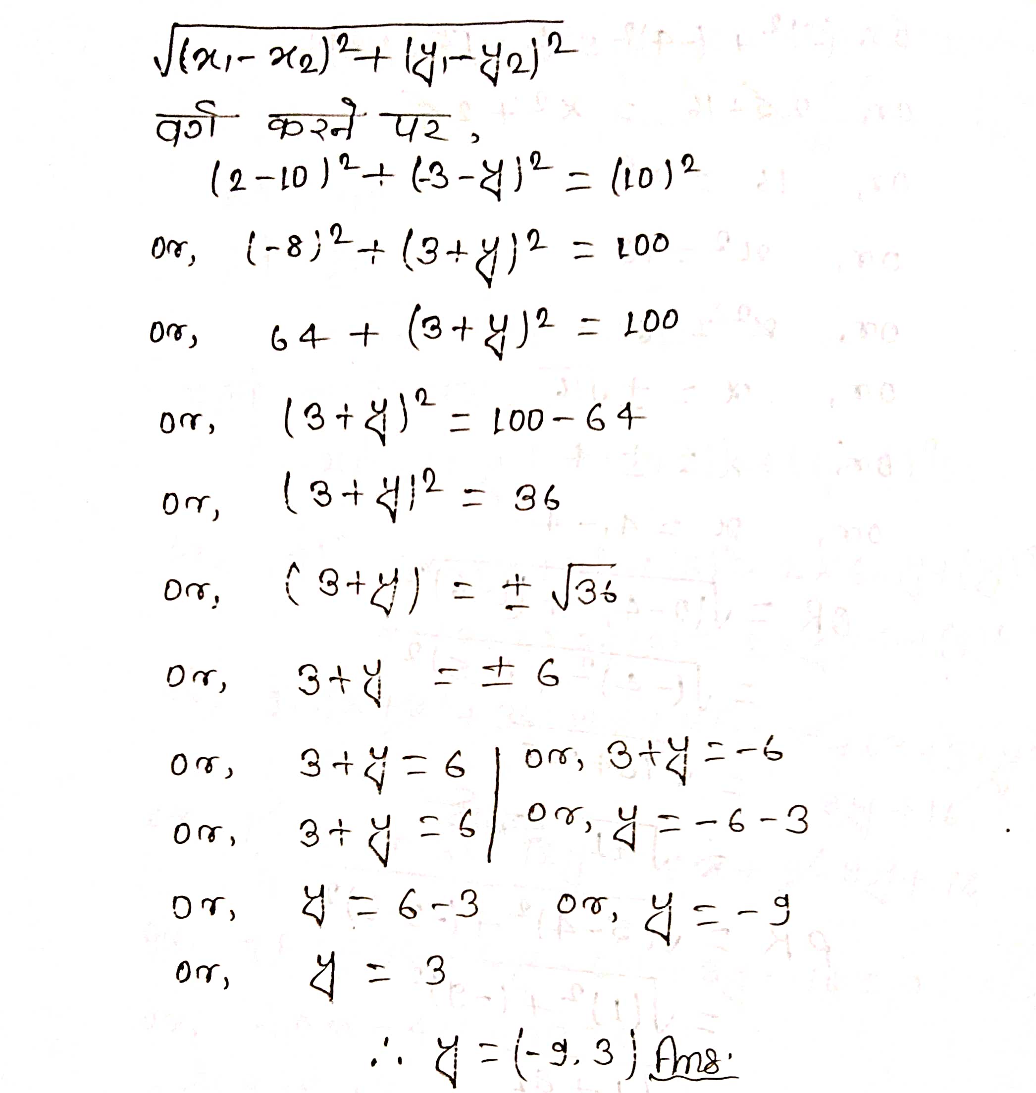
प्रश्न 8. y का वह मान ज्ञात कीजिए, जिसके लिए बिन्दु P(2, -3) और Q(10, y) के बीच की दूरी 10 मात्रक है।

प्रश्न 9. यदि Q(0, 1) बिन्दुओं P(6, -3) और R(x, 6) से समदूरस्थ है तो x के मान ज्ञात कीजिए। दूरियाँ QR और PR भी ज्ञात कीजिए।

प्रश्न 10. x और y में एक ऐसा सम्बन्ध ज्ञात कीजिए कि बिन्दु (x, y)बिन्दुओं (3, 6) और (-3, 4)से समदूरस्थ हो।

Leave a Reply