BSEB Bihar Board Class 10 Maths Solutions Chapter 5 समांतर श्रेढ़ियाँ Ex 5.2
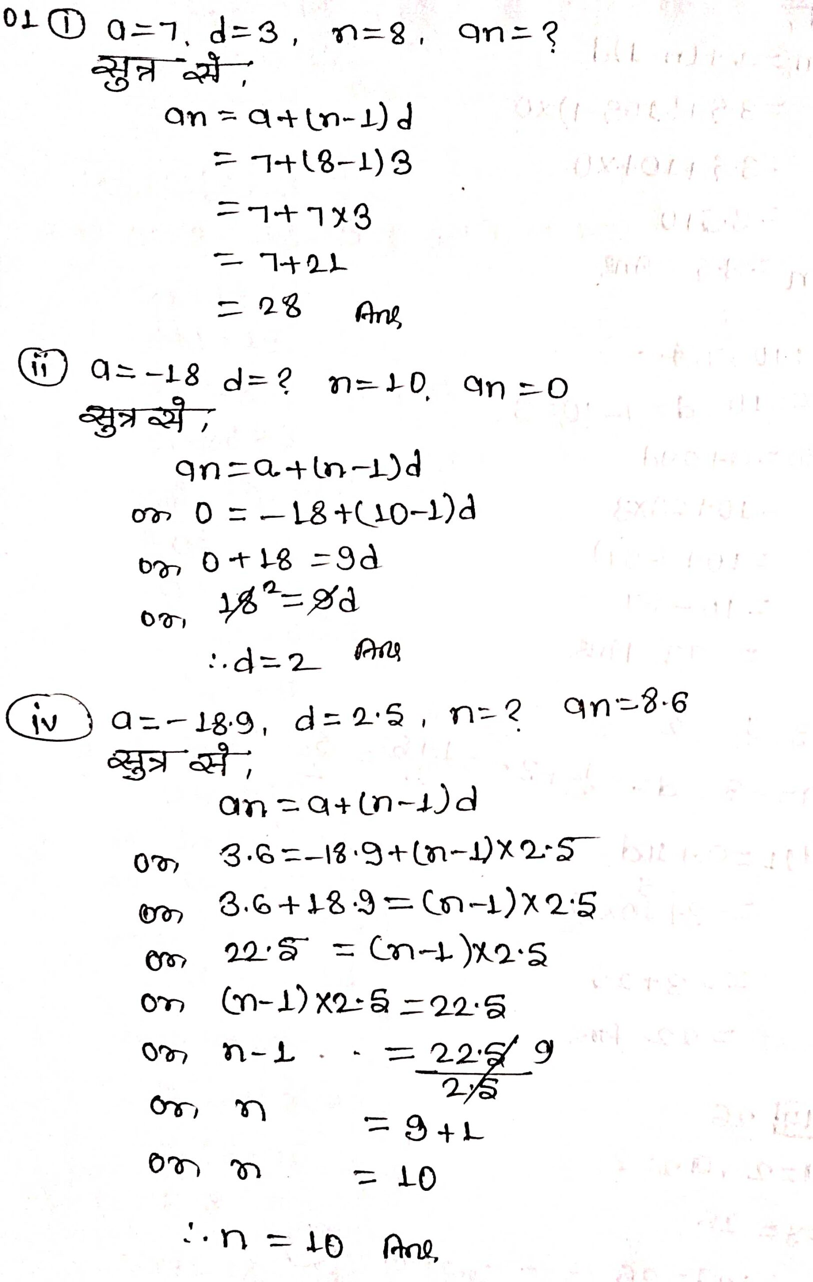
प्रश्न 1. निम्नलिखित सारणी में, रिक्त स्थानों को भरिए, जहाँ A.P. का प्रथम पद a, सार्वान्तर d और n वाँ पद an है:



प्रश्न 2. निम्नलिखित में सही उत्तर चुनिए और उसका औचित्य दीजिए :
(i) A.P.: 10, 7, 4,……, का 30 वाँ पद है :
(A) 97
(B) 77
(C) -77
(D) -87
(ii) A.P.: -3, −1/2, 2,….. का 11 वाँ पद है :
(A) 28
(B) 22
(C) -38
(D) -481/2

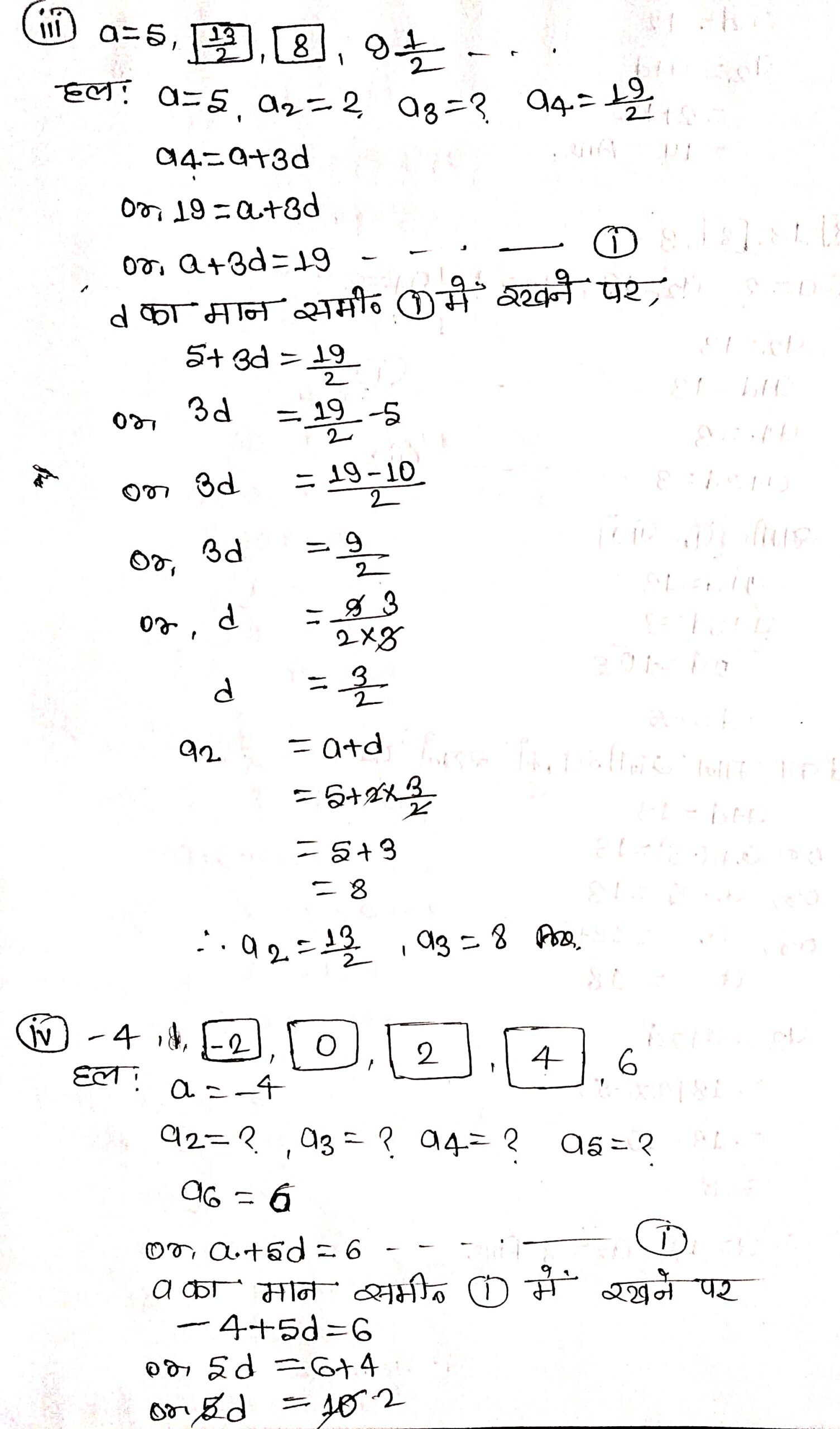
प्रश्न 3. निम्नलिखित समान्तर श्रेढ़ियों में रिक्त खानों (boxes) के पदों को ज्ञात कीजिए :





प्रश्न 4. A.P.: 3, 8, 13, 18, …… का कौन-सा पद 78 है?

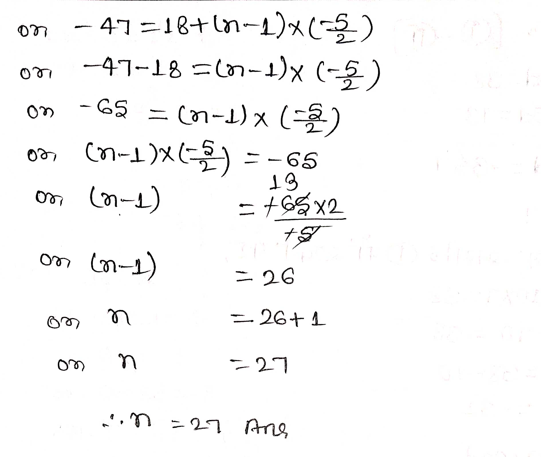
प्रश्न 5. निम्नलिखित समान्तर श्रेढ़ियों में से प्रत्येक श्रेढ़ी में कितने पद हैं?
(i) 7, 13, 19, ……, 205
(ii) 18, 151/2, 13, ….., -47


प्रश्न 6. क्या A.P. : 11, 8, 5, 2 का एक पद -150 है? क्यों?

प्रश्न 7. उस A.P. का 31 वाँ पद ज्ञात कीजिए, जिसका 11 वाँ पद 38 है और 16 वाँ पद 73 है।

प्रश्न 8. एक A.P. में 50 पद हैं, जिसका तीसरा पद 12 है और अन्तिम पद 106 है। इसका 29 वाँ पद ज्ञात कीजिए।


प्रश्न 9. यदि किसी A.P. के तीसरे और नौवें पद क्रमशः 4 और -8 हैं तो इसका कौन-सा पद शून्य होगा?

प्रश्न 10. किसी A.P. का 17 वाँ पद उसके 10 वें पद से 7 अधिक है। इसका सार्वान्तर ज्ञात कीजिए।

प्रश्न 11. A.P. : 3, 15, 27, 39, ….. का कौन-सा पद उसके 54 वें पद से 132 अधिक होगा?

प्रश्न 12. दो समान्तर श्रेढ़ियों का सार्वान्तर समान है। यदि इनके 100 वें पदों का अन्तर 100 है, तो इनके 1000 वें पदों का अन्तर क्या होगा?

प्रश्न 13. तीन अंकों वाली कितनी संख्याएँ 7 से विभाज्य हैं?

प्रश्न 14. 10 और 250 के बीच में 4 के कितने गणज हैं?

प्रश्न 15. n के किस मान के लिए, दोनों समान्तर श्रेढ़ियों 63, 65, 67, ….. और 3, 10, 17,…..के n वें पद बराबर होंगे?

प्रश्न 16. वह A.P. ज्ञात कीजिए जिसका तीसरा पद 16 है और 7 वाँ पद 5 वें पद से 12 अधिक है।

प्रश्न 17. A.P. : 3, 8, 13, ….., 253 में अन्तिम पद से 20 वाँ पद ज्ञात कीजिए।

प्रश्न 18. किसी A.P. के चौथे और 8 वें पदों का योग 24 है तथा छठे और 10 वें पदों का योग 44 है। इस A.P. के प्रथम तीन पद ज्ञात कीजिए।

प्रश्न 19. सुब्बाराव ने 1995 में ₹ 5000 के मासिक वेतन पर कार्य आरम्भ किया और प्रत्येक वर्ष ₹ 200 की वेतन वृद्धि प्राप्त की। किस वर्ष में उसका वेतन ₹ 7000 हो गया?

प्रश्न 20. रामकली ने किसी वर्ष के प्रथम सप्ताह में ₹ 5 की बचत की और फिर अपनी साप्ताहिक बचत ₹ 1.75 बढ़ाती गई। यदि n वें सप्ताह में उसकी साप्ताहिक बचत ₹ 20.75 हो जाती है, तो n ज्ञात कीजिए।

Read more – Click here
YouTube Video – Click here
Leave a Reply